Description
Escin IIb, isolated from horse chestnut, the seeds of Aesculus hippocastanum L., has positive effects on acute inflammation in animals. Escin IIb showed potent protective effects against ethanol-induced gastric mucosal lesions.
Product information
CAS Number: 158800-83-0
Molecular Weight: 1101.23
Formula: C54H84O23
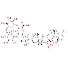
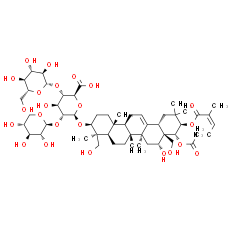
Chemical Name: (2S,3S,4S,5R,6R)-6-{[(3S,4S,4aR,6aR,6bS,8R,8aR,9R,10R,12aS,14aR,14bR)-9-(acetyloxy)-8-hydroxy-4,8a-bis(hydroxymethyl)-4,6a,6b,11,11,14b-hexamethyl-10-{[(2Z)-2-methylbut-2-enoyl]oxy}-1,2,3,4,4a,5,6,6a,6b,7,8,8a,9,10,11,12,12a,14,14a,14b-icosahydropicen-3-yl]oxy}-4-hydroxy-3-{[(2S,3R,4S,5S,6R)-3,4,5-trihydroxy-6-(hydroxymethyl)oxan-2-yl]oxy}-5-{[(2S,3R,4S,5R)-3,4,5-trihydroxyoxan-2-yl]oxy}oxane-2-carboxylic acid
Smiles: CC1(C)C[C@H]2C3=CC[C@H]4[C@@](C)(CC[C@H]5[C@@](C)(CO)[C@H](CC[C@]45C)O[C@@H]4O[C@@H]([C@@H](O[C@@H]5O[C@H](CO)[C@@H](O)[C@H](O)[C@H]5O)[C@H](O)[C@H]4O[C@@H]4OC[C@@H](O)[C@H](O)[C@H]4O)C(O)=O)[C@]3(C)C[C@@H](O)[C@@]2(CO)[C@@H](OC(C)=O)[C@@H]1OC(=O)/C(/C)=C\C
InChiKey: MLLNRQWNTKNRGQ-GJSMMZDWSA-N
InChi: InChI=1S/C54H84O23/c1-10-23(2)45(69)77-42-43(71-24(3)58)54(22-57)26(17-49(42,4)5)25-11-12-30-50(6)15-14-32(51(7,21-56)29(50)13-16-52(30,8)53(25,9)18-31(54)60)73-48-40(75-46-36(64)33(61)27(59)20-70-46)38(66)39(41(76-48)44(67)68)74-47-37(65)35(63)34(62)28(19-55)72-47/h10-11,26-43,46-48,55-57,59-66H,12-22H2,1-9H3,(H,67,68)/b23-10-/t26-,27+,28+,29+,30+,31+,32-,33-,34+,35-,36+,37+,38-,39-,40+,41-,42-,43-,46-,47-,48+,50-,51+,52+,53+,54-/m0/s1
Technical Data
Appearance: Solid Power
Purity: ≥98% (or refer to the Certificate of Analysis)
Shipping Condition: Shipped under ambient temperature as non-hazardous chemical or refer to Certificate of Analysis
Storage Condition: Dry, dark and -20 oC for 1 year or refer to the Certificate of Analysis.
Shelf Life: ≥12 months if stored properly.
Stock Solution Storage: 0 - 4 oC for 1 month or refer to the Certificate of Analysis.
Drug Formulation: To be determined
HS Tariff Code: 382200
How to use
In Vivo:
Escins Ia, Ib, IIa, and IIb (50-200 mg/kg) inhibit the increase of vascular permeability induced by both acetic acid in mice and histamine in rats. Escins Ib, IIa, and IIb (50-200 mg/kg) also inhibit that induced by serotonin in rats, but escin Ia didn't. Escins Ia, Ib, IIa, and IIb (200 mg/kg) inhibit the hind paw edema induced by carrageenin at the first phase in rats. Escin Ia (200 mg/kg) and escins Ib, IIa, and IIb (50-200 mg/kg) inhibit the scratching behavior induced by compound 48/80 in mice, but escin Ia was weakest. Escin IIb (10-50 mg/kg; p.o.) potently inhibits ethanol-induced gastric mucosal lesions.
Products are for research use only. Not for human use.
Payment & Security
Your payment information is processed securely. We do not store credit card details nor have access to your credit card information.